Bạn đang băn khoăn không biết cách đọc tọa độ trên sổ đỏ? Tọa độ không chỉ là những con số khô khan mà là yếu tố then chốt giúp xác định chính xác vị trí thửa đất, tránh tranh chấp và bảo vệ quyền lợi hợp pháp của bạn.
Trong bài viết này, đo đạc Phát Thịnh sẽ hướng dẫn chi tiết cách đọc tọa độ, phân biệt các hệ tọa độ VN-2000, HN-72, WGS84, cách quy đổi sang GPS và kiểm tra quy hoạch đất đai.
Tọa Độ Trên Sổ Đỏ Là Gì?
Khái niệm cơ bản về tọa độ X, Y
Tọa độ trên sổ đỏ là cặp số X, Y (tính bằng mét) xác định vị trí chính xác của từng điểm ranh giới thửa đất theo hệ quy chiếu quốc gia VN-2000.
Mỗi điểm góc (A, B, C, D) của thửa đất được ghi bằng một cặp tọa độ riêng. Khi nối các điểm này lại, bạn sẽ có được hình dạng và ranh giới hoàn chỉnh của thửa đất.
Ví dụ thực tế:
- Điểm A: X = 1203456.78m, Y = 573456.12m
- Điểm B: X = 1203470.11m, Y = 573460.32m
Tại sao tọa độ quan trọng với chủ đất?
Tọa độ giúp bạn:
✅ Xác định ranh giới thửa đất chính xác trên thực địa
✅ Phòng ngừa tranh chấp với hàng xóm
✅ Kiểm tra quy hoạch và vị trí đất trên bản đồ
✅ Làm chứng cứ pháp lý khi có tranh chấp
✅ Đo đạc lại hoặc tách thửa một cách chính xác
Lưu ý: Theo Luật Đất đai 2024, tọa độ ranh giới là thông tin bắt buộc trong hồ sơ địa chính và có giá trị pháp lý cao nhất.
Phân Biệt Các Hệ Tọa Độ Phổ Biến Tại Việt Nam
1. Hệ tọa độ VN-2000 (chuẩn hiện nay)
VN-2000 là hệ tọa độ quốc gia được áp dụng từ năm 2000 đến nay, dựa trên kinh tuyến trục 105° và đảm bảo độ chính xác cao nhất.
Đặc điểm:
- Được sử dụng trong tất cả sổ đỏ mới từ 2000
- Độ chính xác: ±0.1m – 0.5m
- Áp dụng thống nhất toàn quốc
2. Hệ tọa độ HN-72 (đã lỗi thời)
HN-72 là hệ tọa độ cũ được sử dụng chủ yếu tại miền Bắc trước năm 2000.
Đặc điểm:
- Kinh tuyến trục: 104°45′
- Hiện còn trên các sổ đỏ cũ chưa cấp đổi
- Sai lệch so với VN-2000: 30-80m
⚠️ Quan trọng: Nếu sổ đỏ của bạn có ghi “HN-72”, cần quy đổi sang VN-2000 trước khi tra cứu trên bản đồ hiện đại.
3. Hệ tọa độ WGS84 (dùng cho GPS)
WGS84 là hệ tọa độ toàn cầu được sử dụng trong GPS, Google Maps, Google Earth.
Đặc điểm:
- Dùng cho định vị GPS toàn cầu
- Sai lệch so với VN-2000: 5-15m
- Cần chuyển đổi khi tra cứu từ sổ đỏ
Bảng so sánh các hệ tọa độ
| Hệ tọa độ | Kinh tuyến trục | Phạm vi sử dụng | Sai lệch với VN-2000 |
|---|---|---|---|
| VN-2000 | 105° | Toàn quốc (từ 2000) | 0m |
| HN-72 | 104°45′ | Bắc VN (trước 2000) | 30-80m |
| WGS84 | Toàn cầu | GPS/Google Maps | 5-15m |
Hướng Dẫn Đọc Tọa Độ Trên Sổ Đỏ Từng Bước
Bước 1: Tìm bảng tọa độ trong sổ đỏ
Bảng tọa độ thường nằm ở trang 3 hoặc 4 của sổ đỏ, trong phần “Sơ đồ thửa đất”.
Cấu trúc bảng tọa độ chuẩn:
| Điểm | Tọa độ X (m) | Tọa độ Y (m) |
|---|---|---|
| A | 1203456.78 | 573456.12 |
| B | 1203470.11 | 573460.32 |
| C | 1203482.95 | 573450.55 |
| D | 1203468.80 | 573440.10 |
Bước 2: Hiểu ý nghĩa tọa độ X và Y
- Tọa độ X: Thể hiện vị trí theo chiều Đông – Tây (giá trị càng lớn càng về phía Đông)
- Tọa độ Y: Thể hiện vị trí theo chiều Bắc – Nam (giá trị càng lớn càng về phía Bắc)
Bước 3: Xác định các điểm ranh giới
Nối các điểm A → B → C → D → A để tạo thành hình khối ranh giới của thửa đất.
Mẹo nhỏ:
Thông thường điểm A là góc phía Bắc hoặc Tây Bắc của thửa đất, và các điểm được đánh số theo chiều kim đồng hồ.
Bước 4: Tính chiều dài các cạnh
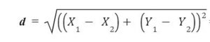
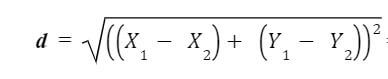
Sử dụng công thức khoảng cách giữa hai điểm:
D = √[(X₂ – X₁)² + (Y₂ – Y₁)²]
Ví dụ tính cạnh AB:
- X_A = 1203456.78, Y_A = 573456.12
- X_B = 1203470.11, Y_B = 573460.32
D_AB = √[(1203470.11 – 1203456.78)² + (573460.32 – 573456.12)²] D_AB = √[13.33² + 4.20²] D_AB ≈ 14.0 mét
Cách Tra Tọa Độ Sổ Đỏ Trên Bản Đồ Số
Phương pháp 1: Sử dụng Google Earth
Bước 1: Quy đổi tọa độ VN-2000 sang WGS84 (sử dụng công cụ chuyển đổi online)
Bước 2: Mở Google Earth Pro → Nhập tọa độ đã chuyển đổi vào ô tìm kiếm
Bước 3: Đánh dấu các điểm A, B, C, D và nối lại
Bước 4: So sánh với hình ảnh vệ tinh để xác định vị trí thực tế
🔗 Công cụ chuyển đổi miễn phí: VN2000 Converter, QGIS
Phương pháp 2: Sử dụng phần mềm QGIS (chuyên nghiệp)
QGIS là phần mềm GIS mã nguồn mở, miễn phí và mạnh mẽ nhất hiện nay.
Các bước thực hiện:
- Tải và cài đặt QGIS từ qgis.org
- Tạo file Excel/CSV với các cột: Tên điểm, X, Y
- Vào menu Layer → Add Layer → Add Delimited Text Layer
- Chọn hệ tọa độ VN-2000 (EPSG:3405 hoặc 3406 tùy khu vực)
- Hiển thị và lưu thành file KML hoặc SHP
Ưu điểm của QGIS:
- Hiển thị chính xác không cần quy đổi
- Tính toán diện tích, chu vi tự động
- Xuất bản đồ chất lượng cao
Phương pháp 3: Tra cứu trên Cổng thông tin đất đai
Nhiều tỉnh thành đã có Cổng thông tin đất đai cho phép tra cứu online.
Cách tra cứu:
- Truy cập website đất đai của tỉnh (VD: dulieuquocgia.vn)
- Nhập số thửa, số tờ bản đồ
- Hoặc nhập tọa độ X, Y để tìm kiếm
- Kiểm tra quy hoạch và thông tin đất
📌 Một số cổng tra cứu phổ biến:
- Hà Nội: dichvucong.hanoi.gov.vn
- TP.HCM: maps.hcmgis.vn
- Đà Nẵng: dichvucong.danang.gov.vn
Hướng Dẫn Quy Đổi Hệ Tọa Độ
Khi nào cần quy đổi tọa độ?
Bạn cần quy đổi khi:
- Muốn xem vị trí thửa đất trên Google Maps/Earth
- Sổ đỏ cũ dùng hệ HN-72, cần chuyển sang VN-2000
- Sử dụng thiết bị GPS để tìm ranh giới thực địa
Cách quy đổi VN-2000 sang WGS84
Sử dụng công cụ online:
- Truy cập website chuyển đổi tọa độ (VD: vn2000converter.com)
- Chọn “VN-2000” → “WGS84”
- Nhập tọa độ X, Y
- Nhận kết quả dạng Latitude/Longitude
Sử dụng QGIS:
- Import dữ liệu tọa độ VN-2000
- Chuột phải vào layer → Export → Save Features As
- Chọn CRS: WGS84 (EPSG:4326)
- Lưu file và mở trong Google Earth
⚠️ Lưu ý: Luôn kiểm tra kết quả sau khi quy đổi bằng cách so sánh với địa danh xung quanh.
Các Lỗi Thường Gặp Khi Đọc Tọa Độ
1. Nhầm lẫn hệ tọa độ
Triệu chứng: Vị trí trên bản đồ lệch hàng chục đến hàng trăm mét
Nguyên nhân: Nhập tọa độ VN-2000 nhưng chọn hệ WGS84 hoặc ngược lại
Giải pháp: Luôn kiểm tra hệ tọa độ ghi trên sổ đỏ và chọn đúng khi nhập vào phần mềm
2. Sai định dạng dấu phẩy/chấm
Triệu chứng: Phần mềm báo lỗi hoặc vị trí sai hoàn toàn
Nguyên nhân: Nhập 1203456,78 thay vì 1203456.78 (dấu phẩy thay dấu chấm)
Giải pháp: Trong hệ tọa độ Việt Nam, luôn dùng dấu chấm (.) cho số thập phân
3. Thiếu điểm góc trong bảng tọa độ
Triệu chứng: Không đủ điểm để tạo đa giác khép kín
Nguyên nhân: Sổ đỏ cũ hoặc scan không rõ, thiếu dữ liệu
Giải pháp: Liên hệ Văn phòng đăng ký đất đai để xin trích lục địa chính đầy đủ
4. Tọa độ lệch so với thực địa
Triệu chứng: Vị trí trên GPS/bản đồ lệch 5-20m so với ranh giới thực tế
Nguyên nhân:
- Sai số đo đạc ban đầu
- Địa hình thay đổi
- Sai số GPS (độ chính xác GPS dân dụng ±3-5m)
Giải pháp: Sử dụng thiết bị đo chuyên dụng RTK GNSS (độ chính xác ±2cm) để kiểm tra lại
Ứng Dụng Tọa Độ Trong Kiểm Tra Quy Hoạch
Cách kiểm tra đất có nằm trong quy hoạch không
Bước 1: Tra tọa độ thửa đất trên Cổng thông tin đất đai
Bước 2: So sánh với bản đồ quy hoạch sử dụng đất (có màu)
Bước 3: Xác định loại đất theo quy hoạch:
- 🟨 Đất ở đô thị
- 🟩 Đất nông nghiệp
- ⬜ Đất quy hoạch giao thông, công trình công cộng
- 🟥 Đất bị thu hồi trong 5 năm tới
Bước 4: Lưu lại văn bản/ảnh chụp màn hình để làm chứng cứ
Lợi ích khi kiểm tra quy hoạch bằng tọa độ
✅ Tránh mua phải đất bị quy hoạch thu hồi
✅ Xác định được hệ số sử dụng đất, chiều cao xây dựng
✅ Biết được đất có được phép chuyển mục đích sử dụng không
✅ An tâm khi đầu tư hoặc xây dựng
Kinh nghiệm từ Phát Thịnh: 30% khách hàng phát hiện đất nằm trong quy hoạch đường sau khi kiểm tra tọa độ, giúp tránh được tổn thất hàng trăm triệu đồng.
Phân Biệt Sổ Đỏ Và Sổ Hồng Về Tọa Độ
Sổ đỏ (Giấy chứng nhận quyền sử dụng đất)
Đặc điểm:
- Có bảng tọa độ chi tiết từng điểm ranh giới
- Có sơ đồ thửa đất rõ ràng
- Áp dụng cho đất ở riêng lẻ, đất nông nghiệp, đất thương mại
Thông tin tọa độ:
- Tọa độ X, Y của 4-10 điểm góc
- Diện tích chính xác đến 0.1m²
Sổ hồng (Giấy chứng nhận căn hộ chung cư)
Đặc điểm:
- Không có bảng tọa độ riêng cho căn hộ
- Chỉ thể hiện vị trí tòa nhà trên bản đồ
- Diện tích ghi theo thiết kế kiến trúc
Cách xác định vị trí:
- Tra tọa độ tòa nhà/dự án (nếu có)
- Kiểm tra quy hoạch theo địa chỉ thửa đất gốc
Công Cụ Hỗ Trợ Đọc Tọa Độ Chuyên Nghiệp
Bảng so sánh công cụ
| Công cụ | Chức năng | Ưu điểm | Nhược điểm | Giá |
|---|---|---|---|---|
| QGIS | Chuyển đổi, hiển thị, phân tích | Miễn phí, mạnh mẽ | Khó sử dụng với người mới | Miễn phí |
| Google Earth Pro | Xem vị trí thực tế | Trực quan, dễ dùng | Phải quy đổi tọa độ | Miễn phí |
| VN2000 Converter | Quy đổi hệ tọa độ | Nhanh, chính xác | Chỉ có chức năng chuyển đổi | Miễn phí |
| Thiết bị RTK GNSS | Đo tọa độ thực địa | Cực kỳ chính xác (±2cm) | Đắt tiền, cần chuyên môn | 100-300 triệu VNĐ |
| Máy GPS cầm tay | Định vị thực địa | Di động, dễ dùng | Sai số ±3-5m | 5-20 triệu VNĐ |
Bảng tọa độ là gì:
Khuyến nghị từ Phát Thịnh
Cho người dùng thông thường:
- Sử dụng Google Earth + công cụ chuyển đổi online
- Tra cứu trên Cổng thông tin đất đai của tỉnh
Cho nhà đầu tư/doanh nghiệp:
- Sử dụng QGIS để phân tích chuyên sâu
- Thuê dịch vụ đo đạc RTK để xác minh chính xác
Khi có tranh chấp:
- Yêu cầu trích lục địa chính từ cơ quan nhà nước
- Thuê đơn vị có tư cách pháp nhân đo đạc lại
Giải Pháp Khắc Phục Sai Lệch Tọa Độ
Trường hợp 1: Tọa độ lệch nhẹ (dưới 2m)
Nguyên nhân: Sai số đo đạc ban đầu, sai số GPS
Giải pháp:
- Đối chiếu với mốc giới thực tế
- Sử dụng thiết bị GPS chính xác hơn
- Chấp nhận sai số trong phạm vi cho phép (±0.5m theo quy định)
Trường hợp 2: Tọa độ lệch trung bình (2-10m)
Nguyên nhân: Nhầm hệ tọa độ, thiếu điểm khống chế
Giải pháp:
- Kiểm tra lại hệ tọa độ ghi trên sổ đỏ
- Quy đổi chính xác giữa các hệ
- Yêu cầu trích lục bản đồ địa chính để đối chiếu
Trường hợp 3: Tọa độ lệch lớn (trên 10m)
Nguyên nhân: Sai số đo đạc nghiêm trọng, thay đổi địa hình
Giải pháp:
- Yêu cầu đo đạc lại: Liên hệ Văn phòng đăng ký đất đai
- Thuê đơn vị đo đạc có tư cách pháp nhân: Để có kết quả được công nhận
- Cập nhật hồ sơ địa chính: Nộp kết quả đo mới để hiệu chỉnh sổ đỏ
Chi phí đo đạc lại: 2-5 triệu VNĐ/thửa (tùy diện tích và khu vực)
Câu Hỏi Thường Gặp (FAQs)
1. Làm sao biết sổ đỏ của tôi dùng hệ VN-2000 hay HN-72?
Trả lời:
Kiểm tra thông tin ghi trong phần “Hệ tọa độ” hoặc “Hệ quy chiếu” trên sổ đỏ. Nếu sổ đỏ cấp sau năm 2000 thì thường dùng VN-2000. Sổ đỏ cũ ở miền Bắc có thể dùng HN-72.
Cách phân biệt nhanh:
- Giá trị X bắt đầu từ 12xxxxx → VN-2000
- Giá trị X bắt đầu từ 23xxxxx → HN-72
2. Có thể nhập tọa độ sổ đỏ vào Google Maps không?
Trả lời:
Không thể nhập trực tiếp vì Google Maps dùng hệ WGS84 (Latitude/Longitude), còn sổ đỏ dùng VN-2000 (X/Y).
Cách làm:
- Quy đổi tọa độ VN-2000 sang WGS84
- Nhập tọa độ mới vào Google Maps với định dạng: 10.762622, 106.660172
3. Tại sao tọa độ trên GPS lệch với thực tế?
Nguyên nhân:
- GPS dân dụng có sai số ±3-5m
- Tín hiệu GPS yếu do che chắn (cây cối, nhà cao tầng)
- Không quy đổi đúng hệ tọa độ
Giải pháp:
- Sử dụng GPS chất lượng cao hoặc thiết bị RTK
- Đo tại khu vực thoáng đãng
- Đợi tín hiệu GPS ổn định (>10 vệ tinh)
4. Khi nào cần đo đạc lại thửa đất?
Các trường hợp cần đo đạc lại:
- Ranh giới mờ, không rõ ràng
- Tranh chấp với hàng xóm
- Tách thửa hoặc gộp thửa
- Tọa độ trên sổ lệch với thực tế >2m
- Xin cấp sổ đỏ mới cho đất chưa có sổ
Chi phí: 2-10 triệu VNĐ tùy diện tích và độ phức tạp
5. Phát Thịnh có hỗ trợ trích lục địa chính miễn phí không?
Trả lời:
Có, Phát Thịnh hỗ trợ tra cứu và kiểm tra tọa độ, quy hoạch miễn phí cho khách hàng quan tâm đến bất động sản. Đối với dịch vụ trích lục chính thức từ cơ quan nhà nước sẽ có phí theo quy định.
Dịch vụ hỗ trợ:
- Tra cứu tọa độ online
- Kiểm tra quy hoạch
- Tư vấn mua bán đất
- Giới thiệu đơn vị đo đạc uy tín
Hiểu và đọc đúng tọa độ trên sổ đỏ là kỹ năng quan trọng giúp bạn bảo vệ quyền lợi hợp pháp, tránh tranh chấp và đầu tư an toàn.
Những điểm quan trọng cần nhớ:
✔️ Kiểm tra hệ tọa độ (VN-2000, HN-72 hay WGS84)
✔️ Quy đổi đúng khi tra cứu trên Google Maps/Earth
✔️ Sử dụng công cụ chuyên nghiệp như QGIS khi cần độ chính xác cao
✔️ Kiểm tra quy hoạch trước khi mua đất
✔️ Đo đạc lại khi có nghi ngờ về ranh giới
Liên hệ đo đạc Phát Thịnh
Dịch vụ chúng tôi cung cấp:
- ✅ Tư vấn đọc và kiểm tra tọa độ sổ đỏ
- ✅ Tra cứu quy hoạch đất đai
- ✅ Hỗ trợ trích lục bản đồ địa chính
- ✅ Giới thiệu đơn vị đo đạc uy tín
- ✅ Tư vấn mua bán, chuyển nhượng đất




